Кой спечели Летище София?

1
490
Снимка: Захари Захариев

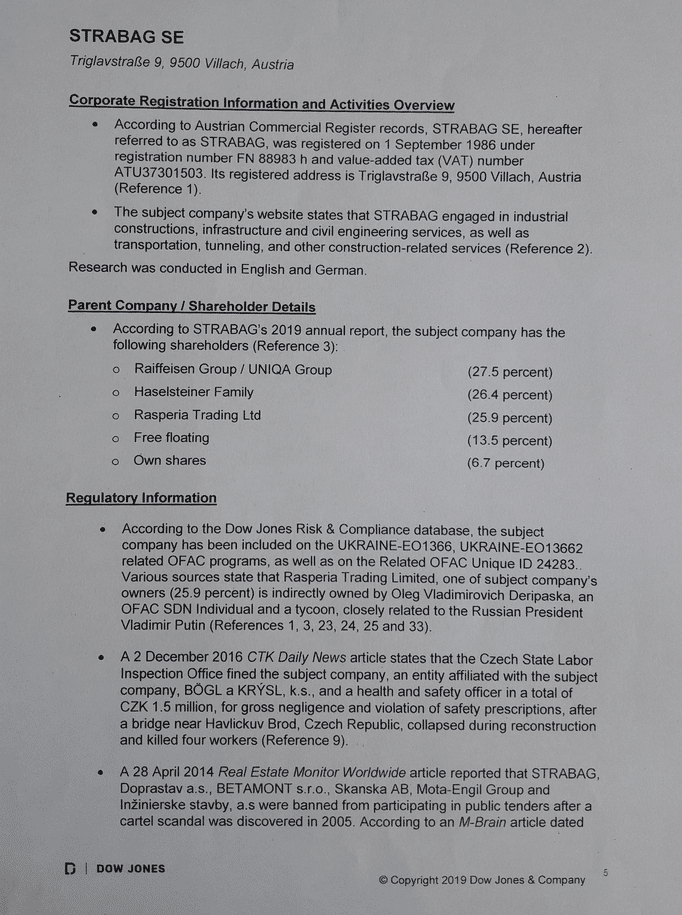
На редакционния имейл се получи писмо от Zahari Zahariev, което е изпратено и до други медии. В писмото се твърди, че държавата е дала Летище София на консорциума „Соф кънект“, което било нелогично.

Публикуваме текста без редакторска намеса:

„Напълно неочаквано и нелогично държавата даде концесията на Летище София на консорциума „Соф кънект“, който предложи най-ниската предполагаема инвестиция за изграждане на нова летищна инфраструктура. Водещ в спечелилото обединение е фондът „Meridiam“, който си партнира със скандално известната строителна компания “Щрабаг” (Strabag), а оператор е летище Мюнхен, но без да е акционер в консорциума и на практика може да се оттегли по всяко време. Класирането съобщи министърът на транспорта Росен Желязков, като отказа да отговаря на въпроси. Настоящата развръзка беше очаквана от близки до процедурата, защото за въпросния победител най-упорито се твърдеше да има връзки с местни бизнесмени и с руския олигарх Дерипаска.

И ако летище Мюнхен и фондът “Meridiam” се ползват с добро име, то австрийската фирма “Щрабаг” е позната на правосъдието, световните медии и европейското общество със серия от корупционни скандали, картелни практики, некачествено строителство, осъдени директори и задкулисни връзки. По-всичко изглежда, че новият Терминал 3 отново ще се строи от „Щрабаг“ и че това ще се случи относително късно – след 7-8 години. Компанията, която имаше редица проблеми по време на изграждането на Терминал 2 сега ще го ремонтира и след това ще строи още един терминал.

Интересна подробност е, че сред най-големите акционери на „Щрабаг“ е фирма, собственост на руския олигарх Олег Дерипаска. Според множество австрийски издания Дерипаска е действителният собственик на строителния гигант. Санкциите на САЩ спрямо неговата компания „Русал“ бяха отменени в края на януари т.г., но не и спрямо него лично. Други негови бизнеси и участия все още са в санкционни списъци. По всичко изглежда, че акциите в „Щрабаг“ са на „Русал“ и в момента австрийската строителна компания също е извън тези списъци, според съобщение на Индустрии Магазин. Този политически риск е обсъждан при оценката на предложенията. Вероятно е преценено, че той е нищожен. Но концесията е за 35 години и никой не може да гарантира, че човек с такива връзки няма да попадне под нови запрещения.

Част от най-фрапиращите скандали, дали печалната слава на „Щрабаг“ са:

– Разследвания за корупция при строителството на хърватските магистрали. В Хърватия са разследвани за фалшиви договори през 2006 година. Претърсвани са помещения на фирмата;

– Създаване на мрежа за корупция и измами през 2007 г. в Кемниц, Германия. През 2007 г. ръководителят на филиала на „Щрабаг“ в Кемниц е осъден на три години и два месеца затвор за фалшиво фактуриране. „Strabag“ е осъдена да изплати 785 000 евро на община Кемниц, Германия и 545 000 евро на община Цвикау, Германия за измамите с фактури;

– Плащане на подкупи и издаване на фиктивни фактури при изграждане на магистралата в Саксония през 2008 година;

– Картелен скандал в Словакия през 2014 г., след който държавата им забранява да участват в публични търгове. „Щрабаг“ са осъдени на 32,7 млн. евро, заедно с други компании за картелни практики.

– Откраднати над 167 милиарда украински форинта при строежа на метростанциите в Будапеща. Измамата е открита от OLAF, а Унгария е заплашена с глоби от Европейската комисия.

– Спор с Либийската държава през 2015 г. Международният център за уреждане на инвестиционни спорове (ICSID) е участвал като арбитражен орган в спора.

– Загиналите работници в Хавличкув брод, Чехия по време на реконструкция на срутен мост през 2016 г. „Щрабаг“ са осъдени на 1.5 млн. чешки крони за груба небрежност и нарушаване на предписанията за безопасност.

– „Щрабаг“ наемат Герхард Грибковски във финансовия си отдел, докато той все още е в затвора с присъда за измами и корупция.

– На 6 май 2017 г. изданието Frankfurter Allgemeine Zeitung съобщава, че „Strabag“ и „Porr Group“ са разследвани по картелни споразумения с обществени поръчки.

– През 2017 г. „Щрабаг“ завежда дело за 2.76 млн. евро срещу футболен клуб Rapid, искайки допълнително плащане за изграждането на основата на стадион Allianz.

– Картелни споразумения в Северна Италия през 2019 г., по време на строеж на магистрала.

В България „Щрабаг“ са познати с некачествения и забатачен ремонт на Летище София през 2008 година, след който козирката на Терминал 2 се срути.

Лошият международен имидж на компанията може да се окаже най-малкият проблем, ако „Щрабаг“ приложи някоя от некоректните си практики в управлението на летището. Министърът на транспорта не желае да отговаря на въпроси, свързани с концесията, а ще поеме ли отговорност за рисковете, съпроводени с идването на новия концесионер?“

Текстът завършва с линк, от когото могат да бъдат изтеглени следните документи:

Коментари

  1. Не е нормално да се дава ремонта на толкова важно летище на фирма, която веднъж се е проваляла, но явно при нас продължават да се случват всякакви ненормални неща.

ВАШИЯТ КОМЕНТАР

Моля, напишете вашия коментар!
Моля, напишете името си тук